校訓(xùn):博學(xué) 審問 慎思 明辨 篤行

學(xué)生天地

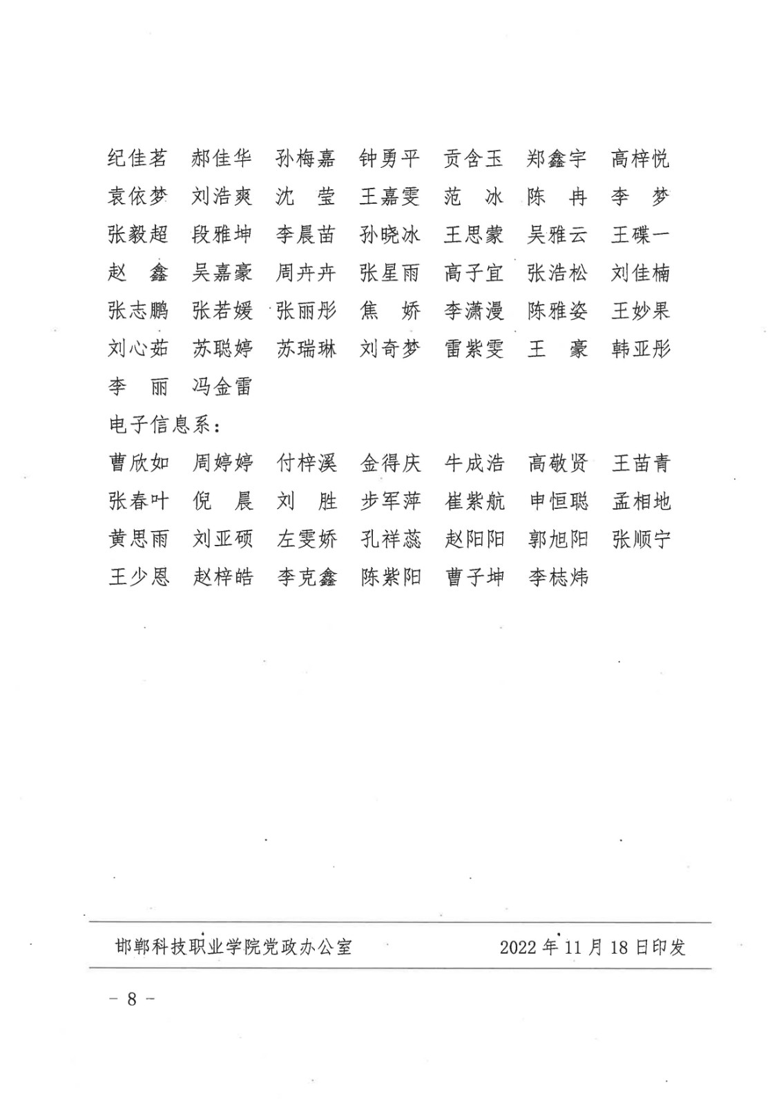
2021-2022學(xué)年獎學(xué)金獲得者名單

2021-2022學(xué)年獎學(xué)金獲得者名單



學(xué)工處   供稿

平舆县| 武穴市| 庆安县| 绥棱县| 千阳县| 安西县| 南汇区| 盐池县| 临沧市| 涿鹿县| 高尔夫| 蓬溪县| 固阳县| 盐源县| 睢宁县| 玛沁县| 偏关县| 涡阳县| 南昌市| 桂东县| 枣阳市| 武汉市| 黎城县| 陈巴尔虎旗| 平乐县| 米易县| 高安市| 三江| 塔城市| 石柱| 萨嘎县| 龙川县| 大庆市| 宜良县| 洪泽县| 永平县| 赣州市| 铜陵市| 大关县| 潮州市| 营山县|