校訓(xùn):博學(xué) 審問(wèn) 慎思 明辨 篤行

學(xué)生天地

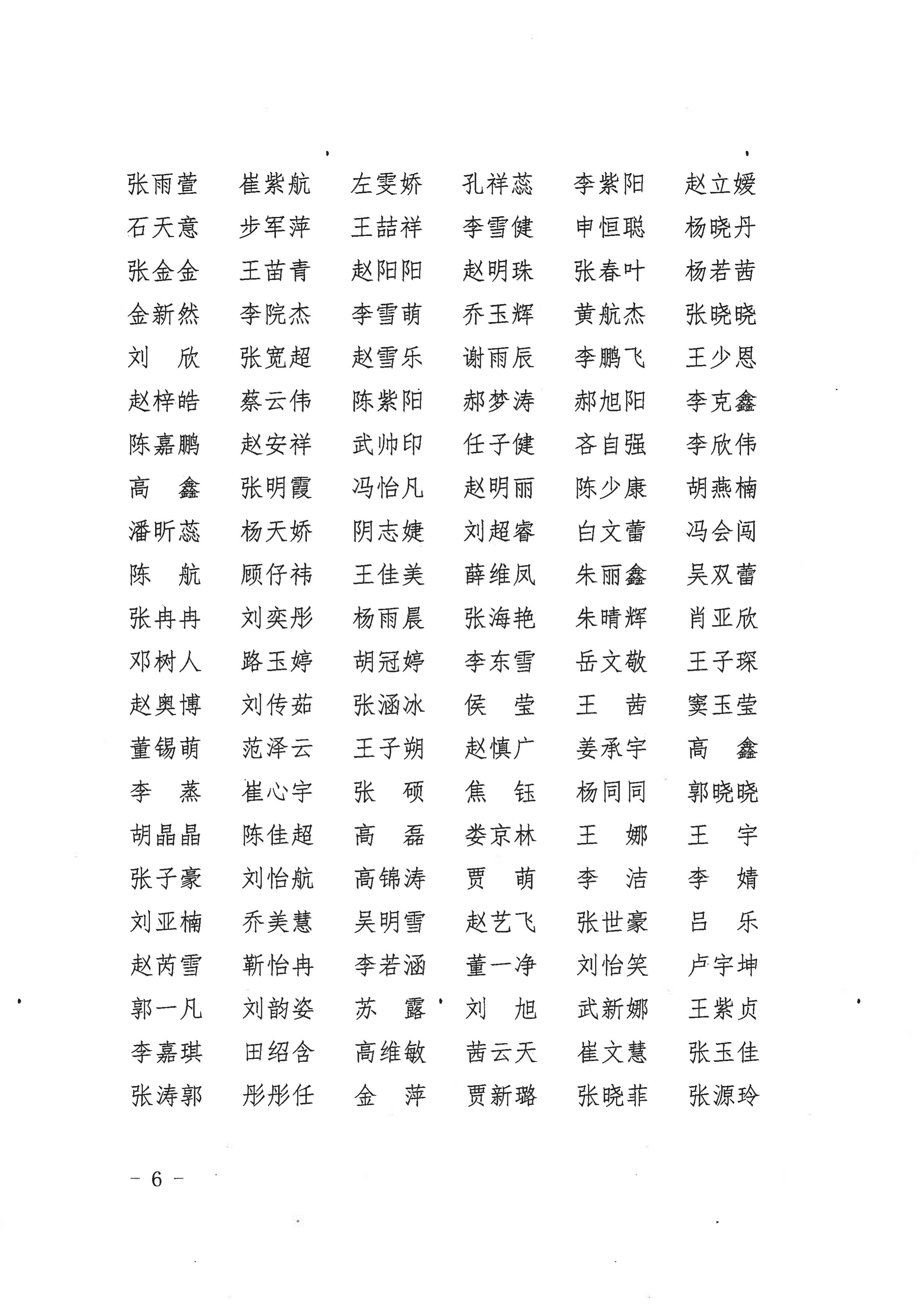
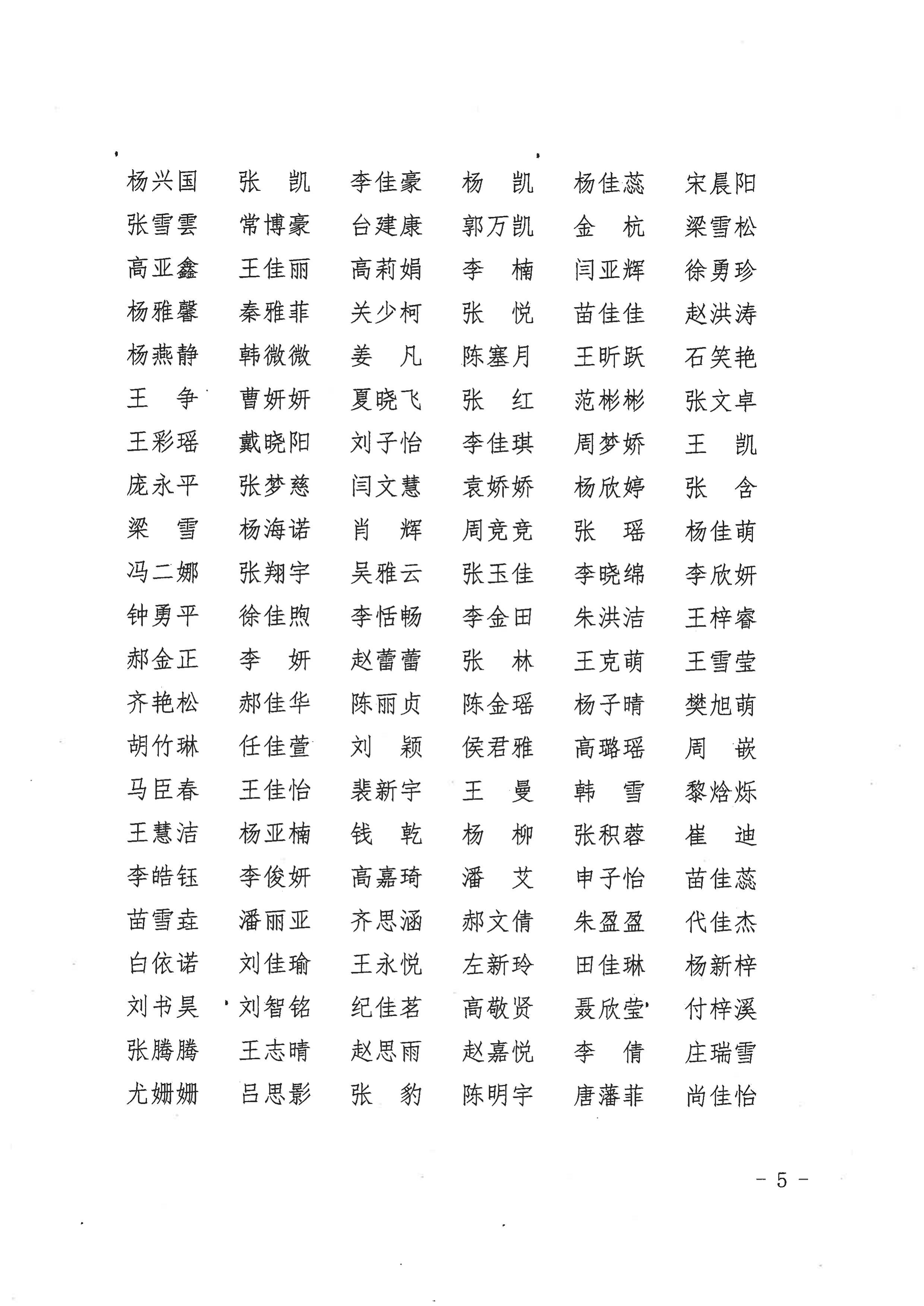
2021-2022先進(jìn)班集體、三好學(xué)生、優(yōu)秀學(xué)生干部名單





學(xué)生工作處   供稿

常山县| 哈尔滨市| 高陵县| 榕江县| 息烽县| 浙江省| 绥化市| 梨树县| 二连浩特市| 清远市| 新晃| 呼伦贝尔市| 玉环县| 保山市| 河北省| 略阳县| 化德县| 时尚| 呼和浩特市| 二手房| 德江县| 大埔区| 宽甸| 德兴市| 河曲县| 嘉善县| 洛川县| 浙江省| 日喀则市| 稻城县| 文安县| 新乐市| 那曲县| 铁力市| 葫芦岛市| 瓦房店市| 两当县| 乌苏市| 天津市| 应用必备| 浪卡子县|